Gli articoli passati

Una ripidissima verticale di Chateau D'Yquem
Vignaioli e vini piemontesi incantano la Versilia
Grafica nuova, entusiasmo antico
SIDEWAYS: quando il degustatore passa per un ubriacone...
La strada in salita dei premium wines
Prosecco e pizza margherita: qualcosa non quadra?
Il vino verso un consumo globalizzato?

In vendita il nostro vino: Regalati un Sorriso!
Orizzonti e Vertici: I vini di Langhe e Roero in Versilia
Uno sguardo di là dal mare: Il vino nel nord America
Mondovino, una pellicola sul nostro mondo
La scomparsa di Luigi Veronelli. Gli eroi son tutti giovani e belli

Bordeaux nel XVIII secolo, gli intendenti che la fecero moderna, Dupré de Saint-Maur e il vino

13^ edizione del Merano International Wine Festival: ancora un successo

Tartufo, magia della natura e diamante della cucina

Nunc est bibendum: divertissement di fisici attorno a bicchieri di vino

La rivoluzione copernicana della Guida Vini d'Italia 2005 dell'Espresso

2004, una vendemmia in sordina (di Angelo Gaja)

La rivincita dello sfuso

Roero Mon Amour. Breve spaccato dedicato a un uomo e alla sua terra

In archivio

 

 


Ospitiamo un articolo dal tenore scientifico divulgativo. In esso si prendono in considerazione alcuni dei fenomeni che riguardano il vino, la sua produzione e la degustazione, con risultati talvolta in controtendenza rispetto a luoghi comuni del mondo enologico. Nonostante la presenza di qualche formula matematica, l'articolo si legge con grande piacere e riserva parecchie sorprese. Vi consigliamo di stamparlo e conservarlo, avrete nelle vostre mani una piccola enciclopedia di scienza vinosa...

Nunc est bibendum: divertissement di fisici attorno a bicchieri di vino
di A. Rigamonti e A. A.Varlamov

"O amato fanciullo,
prendi le tazze variopinte,
perché il figlio di Zeus e di Semele
diede agli uomini il vino
per dimenticare i dolori"

(Alceo)

"Il vino è uno dei maggiori
segni di civiltà nel mondo"

(E. Hemingway in
"Morte nel pomeriggio")

Riassunto
Dopo alcune note introduttive sull’origine del vino e sullo sviluppo delle tecniche di vinificazione, vengono illustrati alcuni dei fenomeni fisici che si realizzano in bicchieri e in calici di vino o di suoi derivati. Viene quindi richiamato il " paradosso francese" osservato nella correlazione tra coronaropatie e consumo di grassi. Si presentano successivamente i principi generali di una tecnica, basata sulla risonanza magnetica nucleare del deuterio, per valutare la qualità del vino e verificare la sua origine, per terminare infine con qualche cenno ad aspetti filosofico-conviviali .

Introduzione
Gli argomenti di studio della scienza fisica sono ben noti. Meno noti sono forse gli aspetti scientifici dell’enologia e del come essi intervengono nella lavorazione e nelle proprietà del vino e dei suoi derivati. La produzione di un vino di qualità è oggi il risultato della applicazione di tecnologie di carattere scientifico e coinvolge discipline come la botanica, la chimica, la fisica, la biologia. Peraltro la realizzazione di un vino di qualità richiede forse anche quel "tocco" umanistico che confina con le forme d’arte.

In tempi recenti si è confermata scientificamente quella che poteva sembrare una credenza popolare: il vino riveste anche carattere terapeutico. Infine è oggi possibile verificare rigorosamente qualità e provenienza del vino mediante la applicazione di sofisticate tecniche che attengono strettamente al campo della fisica.

Nel seguito illustreremo alcuni fenomeni fisici che si realizzano nel vino e nei suoi derivati. Richiameremo i suoi aspetti terapeutici, brevemente descrivendo il principio base della tecnica di certificazione della qualità.

Qualche cenno sulle origini del vino e sulle tecniche di vinificazione
Cosa è possibile aggiungere, che abbia qualche tratto di originalità, nei riguardi del vino dopo che una moltitudine di scrittori, poeti, giornalisti ed enologi ne hanno scritto e parlato? In epigrafe sono riportati commenti elogiativi che interessano uno dei più remoti poeti e un ben noto scrittore di tempi relativamente recenti, commenti che in qualche modo si collegano a quanto avremo modo di richiamare nel seguito sul ruolo di questa bevanda, su una specie di manifesto d’amore per la terra e per uno dei suoi prodotti più significativi.

Le origini del vino si perdono nei tempi nei quali sono nate forme di vita associativa. Resti di vinaccioli sono stati rinvenuti in caverne preistoriche. Da millenni avanti Cristo si conoscevano i frutti della vite, pianta presumibilmente originaria dall’India. Si fa risalire il vino, secondo una leggenda della quale sarebbe difficile accertare la veridicità, alla corte di un re di Persia. Una dama di corte, affetta da depressione, avrebbe cercato il suicidio attraverso l’assunzione di uno strano liquido, ritenuto velenoso, che si veniva accumulando nel fondo di giare ove si conservava l’uva. Il risultato, anziché nefasto, fu di piacevole sollievo, di attenuazione dei sintomi depressivi e dei bui pensieri. Era stato "sperimentato" l’effetto ansiolitico del vino. Il re persiano, degustata la bevanda e sperimentatane gli effetti, ne promosse un uso sistematico. E iniziò, forse in quel modo, l’ascesa del vino verso un ruolo quasi sacrale. Come a tutti è noto il vino è parte essenziale nel Sacramento dell’Eucarestia nelle pratiche religiose del Cristianesimo e anche nel rito ebreo del Kiddush la benedizione cerimoniale si attua sul vino e sul pane. Secondo leggende arabiche, Adamo conosceva la vite e anzi il frutto di questa, e non del melo, costituì il "frutto proibito". Le inevitabili alternazioni della storia tramandata si riflettono altresì sulla "foglia di fico": appare piuttosto che Adamo ed Eva, divenuti consci della loro nudità, si coprissero con foglie di banano.

Storicamente è abbastanza certo che in Mesopotania e in Egitto siano state sviluppate per la prima volta tecniche di vinificazione. Le migrazioni degli ariani dall’India, verso il 2500 A.C., determinarono il trasferimento in occidente della pratica della vinificazione. Certa è, intorno all’anno 2000 A.C., la produzione del vino in Sicilia (forse in relazione alle colonizzazione dei Greci o degli Egiziani), più tardi presso i Sabini e gli Etruschi. È noto che antiche culture riconoscessero benefiche virtù al vino, come medicinale e antisettico. In alcuni papiri egiziani si trovano prescrizioni mediche basate sul vino, che sino dai tempi di Omero veniva del resto usato per disinfezione di ferite. Ippocrate lo prescrisse come diuretico e antipiretico. Per tornare ai Romani, Orazio e Virgilio (negli anni dal 43 al 30 A.C.) elevano lodi di varia natura al vino. È del 42 A.C., ad opera di Columella, la stesura di un ottimo manuale di viticoltura, il "De re rustica".

Nel primo secolo dopo Cristo si assiste a una forte espansione della pratica enologica nell’Impero Romano. Per combattere la sovrapproduzione Domiziano vietò l’impianto di nuovi vigneti (e fece estirpare il 50% degli stessi nei territori non-romani). Verso l’anno 200 D.C. inizia la crisi dell’agricoltura, crisi che si aggrava con le invasioni barbariche e determina il progressivo abbandono delle pratiche vinicole. Con l’avvento dei Maomettani (per i quali l’alcool è proibito) si produce il totale abbandono della vite. Nel Medioevo l’enologia viene sporadicamente praticata in castelli e nei conventi. Bisogna arrivare al Rinascimento (dal XVI secolo in poi) per vedere rinnovellarsi la coltivazione della vite e assistere a una grande espansione nella produzione del vino. E ciò a manifesta testimonianza che il fiorire delle arti e della cultura, possiamo dire lo sviluppo della civiltà, è accompagnato dalla cura e dalle attenzioni verso il vino, in qualche modo un segno di affrancamento dalla barbarie.

La moderna enologia nasce all’inizio del secolo XX, paradossalmente a seguito di eventi funesti: l’attacco di parassiti, legato a spostamenti di massa. Compaiono l’oidio (Uncinucula necator), la peronospera (Plasmopora viticola) e la fillossera (Phillossera vastatrix) della famiglia degli Afidi. I primi due sono combattuti con zolfo e rame. Lo fillossera richiede un brillante esempio di controllo genetico. La vite americana ha radici che sono progressivamente mutate sino a divenire resistenti alla fillossera in ragione di uno strato di sughero alla superficie radicale. La vite europea, di migliori qualità organolettiche (la Vitis vinifera di provenienza orientale) viene cosi innestata su ibridi delle viti americane (le Vitis riparia, Vitis rupestris e Vitis berlandieri). L’ibrido di radici di viti americane diviene cosi il porta-innesto delle gemme delle viti europee. Infatti la Vitis vinifera non-innestata e sana esiste solamente in pochissime zone d’Europa: nello Jeres, nel Colares (Lisbona) ove la sabbia impedisce lo sviluppo degli Afidi, nelle regioni della Mosella e del Douro, ove analoga protezione esercitano l’ardesia e lo scisto. Ricordiamo che l’ibrido non è un innesto. Gli ibridi di vite americana e di viti europee non possano essere coltivati in Europa (la presenza di prodotti da ibridi viene rilevata con la fotometria di assorbimento atomico). Gli incroci tra varietà europee non sono considerati ibridi.

Non è questo la sede per inoltrarci nella descrizione del lavoro nel vigneto, di come si combatte la peronospera, la Botritis cinerea (utile in casi particolari, come il Sauternes, e in tal caso chiamata muffa nobile) o come si contrastano virosi e clorosi o gli effetti degli andamenti climatici (come, per esempio, il millerendage, cioè la fioritura ineguale di acini grandi e maturi insieme ad acini piccini). Dopo la raccolta e la pigiatura inizia la fermentazione, che può essere naturale (dovuta ai lieviti presenti nella buccia) o forzata da lieviti ad hoc. La fermentazione viene attuata dal Saccharomyces ellipsoideus (peraltro essa si arresta con contenuto alcolico dell’ordine di 20 gradi; ecco perché non si hanno in maniera naturale prodotti a gradazione alcolica più elevata). Nella fermentazione lo zucchero si trasforma in alcool etilico e insieme si producono anidride carbonica, glicerina, acidi succinico, acetico, lattico nonché acetaldeide e molti altri prodotti. Questo è sostanzialmente ciò che necessita conoscere per quanto nel seguito avremo a dire. Del resto sarebbe fallace tentare di dare dettagli su come si produce "un buon vino". Produrre il vino è un po’ come un’opera d’arte e ognuno intuisce che sarebbe vano il tentativo di "descrivere" come si fa, ad esempio, un bel quadro o una eccelsa scultura.

Ci limiteremo a descrivere come intervengono alcuni processi o fenomeni fisici nel percorso verso il prodotto finale. Un sommelier ebbe a dire che nei disegni di Dio lo stato finale del succo dell’uva doveva essere l’aceto. A bloccare questa evoluzione nefasta è l’intervento dell’uomo e pertanto è preferibile, in genere, confidare in una vinificazione sostenuta dagli ausili della tecnologia piuttosto che operare con il "fai da te" artigianale. Il moderno e avveduto produttore sa che è preferibile una limitata raccolta di uva per metro quadrato di superficie coltivata se si aspira a un prodotto di elevata qualità. Innovazioni di carattere botanico, opportuna attenzione agli aspetti chimici e l’impiego di sofisticate apparecchiature caratterizzano la moderna produzione del vino.

Come si è detto la buccia dell’acino contiene in sé i lieviti che determinano la fermentazione che conduce all’alcool. Per evitare che essa si protragga sino all’aceto occorre separare il mosto dai componenti che risulterebbero alla fine dannosi o almeno ridurne la funzione. E’ questa essenzialmente la ragione della filtrazione del mosto, dopo la quale il ruolo delle particelle di lievito è notevolmente ridotto. La successiva fermentazione avviene oggi, in genere, in contenitori di acciaio. La fermentazione è un processo esotermico e la temperatura del mosto può salire a 40-42 °C. In una produzione "artigianale" tali temperature causano la evaporazione di prodotti volatili, di nobili aromi di frutti e di fiori che più tardi potrebbero influire positivamente sulla qualità del vino, specie dei bianchi. Allo scopo di conservare questi tesori della natura i moderni produttori realizzano la fermentazione a freddo (circa 18° C), processo che richiede un tempo assai più lungo (tipicamente tre settimane invece di 7-8 giorni della fermentazione "naturale"). Anche la filtrazione può essere condotta a freddo, per esempio alla temperatura di -5 °C, per liberarsi di infiltrati organici dannosi o sgradevoli (che solidificando non filtrano mentre il vino, grazie al contenuto alcolico che ne abbassa la temperatura di solidificazione di circa 0.5 ° C ogni percento di alcool, può fluire).Tecniche di raffreddamento intervengono anche per incrementare il contenuto di zuccheri. Se necessario si raffreddano i grappoli sino al congelamento per ottenere la solidificazione dell’acqua e procedere quindi alla spremitura. Il mosto ottenuto in tal modo contiene più zuccheri.

Queste poche considerazioni danno una idea del perché una moderna "cantina" per la produzione del vino assomiglia piuttosto a un laboratorio di ricerca.

Naturalmente vi sono anche metodi "naturali" per ottenere analoghi risultati in vista di specifiche finalità. Per esempio l’incremento del contenuto zuccherino può essere ottenuto lasciando seccare i grappoli dopo il raccolto, appesi in appositi locali. Con la perdita di acqua si ha un aumento degli zuccheri e questa procedura è usuale per produrre moscati o nobili passiti (per esempio, con i grappoli del vitigno Erbaluce, il Caluso passito). Nel Sauternes, in Francia, è stato ideato un metodo assai originale per provocare la riduzione di acqua negli acini, usualmente poveri di zuccheri per la scarsa insolazione di quelle aree, spesso afflitte da nebbie proprio nel periodo della maturazione del frutto: la muffa nobile, alla quale si è già fatto cenno, attacca l’acino, lo fora e l’acqua ne fuoriesce per circa il 20 percento. Si determina un aumento del contenuto zuccherino e insieme un tipico, nobile aroma "di marcio" per il vino, prodotto a partire dal tardo Novembre.

Passiamo ora alla descrizione di qualche tipico fenomeno fisico che coinvolge il vino o suoi derivati.

Le "lacrime" del vino
Come sanno gli estimatori (o che si atteggiano tali e parlano a proposito di "corpo del vino" o di "glicerina") sulla superficie interna di un bicchiere riempito a metà o meno di vino, è possibile produrre, con una leggera rotazione, alcuni rivoletti viscosi che lentamente scendono aderendo alla parete del vetro. Sono noti come "lacrime del vino". Come si producono? Quali proprietà le controllano? Quale elemento di giudizio sul prodotto possiamo trarne?

In idrodinamica il fenomeno è conosciuto come effetto Marangoni, si può osservare facilmente in ogni miscela di alcool e acqua (con il primo almeno al 20 percento) ed è legato essenzialmente al gradiente di tensione superficiale. A seguito della più rapida evaporazione di alcool e della più elevata tensione superficiale dell’acqua, si può produrre un gradiente di concentrazione che induce a sua volta un gradiente di tensione superficiale. Quest’ultimo produce una sollecitazione superficiale che può far salire un sottile strato lungo la parete di vetro del bicchiere, contrastando in tal modo l’effetto della gravità.

Due ricercatori francesi (Fournier e Cazabat) hanno recentemente studiato la cosidetta "dinamica di bagnamento", in termini della legge di diffusione alla Einstein del fronte dello strato L (t) nella forma L(t) = (D t)1/2, con D coefficiente di diffusione. La scoperta è stata non solo che tale legge è in effetti verificata ma anche che il coefficiente di diffusione D(a) è una funzione fortemente dipendente dal contenuto alcolico a. Mentre è stato confermato da questi studi che il contenuto minimo di alcool per osservare il moto spontaneo di risalita dello strato di liquido deve essere del venti percento (a = 0.2), sorprendentemente è risultato che i valori più elevati di D si ottengono per basse concentrazioni alcoliche, benchè in tali casi l’evaporazione risulti ovviamente più lenta.

La formazione delle lacrime è associata a due effetti fisici. Una volta formatisi lo strato la gravità tende ovviamente a farlo "cadere" verso il fondo del bicchiere. Dall’altra il fenomeno cosiddetto del "fingering" o formazione di grosse gocce terminali da associare alla instabilità della superficie (quale quella che provoca il caratteristico sventolio di una bandiera al vento), tipica di sistemi instabili anche rispetto a piccole deviazioni dall’equilibrio. Maggiore il contenuto di alcool maggiore il numero di rivoletti. Tuttavia tale dipendenza non è risultata molto pronunciata: la percentuale di alcool necessaria per osservare visivamente una marcata differenza è risultata così alta che in pratica potrebbe essere un indicatore di elevato contenuto di alcool solo se si confrontasse un vino ordinario con un vino artificiosamente "fortificato" da una marcata aggiunta di alcool stesso.

Per quanto riguarda invece la glicerina, essa contribuisce al gusto di dolce ma non al cosiddetto "corpo" del vino (ricchezza in alcool e in aromi) nè, in larga misura, alla sua viscosità.

Pertanto la conclusione degli studi ai quali abbiamo fatto cenno è che dallo spettacolare fenomeno delle "lacrime" difficilmente si può trarre qualche serio elemento di valutazione sul "corpo del vino" o sulla concentrazione di glicerina.

Spumante, champagne, bolle e "fizz"
Come è noto, a stretto rigore il termine Champagne dovrebbe essere riservato ai soli prodotti basati sui tre vitigni, "Pinot nero", "Pinot meunier" e "Chardonnay", e provenienti da una precisa area della Francia. Di questi "cultivar" solo lo Chardonnay (dal quale discende il "Blanc de Blanc") è intrinsecamente un vino bianco. Dai Pinot si ottengono bianchi o rosè mediante le procedure definite "vinificazione in bianco", essenzialmente una limitata spremitura con parziale rimozione delle bucce rosse. In realtà molti vini francesi, in specie quelli del Midì, sono "prodotti" anche utilizzando vini provenienti da altre zone, per esempio dell’Oltrepò Pavese ove si hanno eccellenti bianchi. Le bottiglie rientrano talvolta in Italia e sono pagate dai consumatori a prezzi più elevati, conseguenza di un certo snobismo e della fama che una indubbia maestria di trattamento e di promozione propagandistica ha diffuso nei riguardi dei vini francesi e degli Champagne.

Il caratteristico aspetto dello Champagne così come degli spumanti, è dovuto a una elevata quantità di anidride carbonica. Essa può essere ottenuta prolungando la fermentazione, aggiungendo zuccheri e lieviti prima a livello di mosto e successivamente nel processo di invecchiamento in bottiglia. Le bottiglie sono inclinate e frequentemente ruotate e i residui di lieviti e altri prodotti si lasciano precipitare nel collo delle stesse. La fisica interviene a questo punto: si provoca il congelamento del tratto terminale della bottiglia (in genere con azoto liquido) e la rimozione della porzione non gradita. Nuovamente vengono aggiunti zuccheri, bentonite e altri sali minerali (il cosiddetto "liquer de tirage" in una prima fase e successivamente "liquer de expédition") ed eventualmente altri vini di diversa provenienza e invecchiamento, per ottenere un particolare "dosaggio". E’ a questo stadio che nascono i vari tipi di spumante: Pas Dosé, Brut, Extra dry, Sec, Demi-sec o Doux .

Interessiamoci di qualche divertente fenomeno fisico che possiamo far avvenire con lo spumante. Per esempio il copioso "spruzzo" di vino, gas e schiuma che accompagna talvolta la celebrazione di un evento di successo (ormai è di prammatica il farlo a seguito delle vittorie delle Ferrari in Formula 1). Il marcato scuotimento, prima della rimozione del tappo, determina l’ingresso forzato nella soluzione, già satura di anidride carbonica, anche del gas esistente nella regione alta della bottiglia. All’apertura si ha una brusca caduta della pressione, la solubilità del gas nel liquido si riduce notevolmente e bruscamente. Pertanto vengono emesse le "bolle" accompagnate da schiuma e in parte da spumante stesso.

Gli studenti di Fisica talvolta si divertono a fare impressione sulle fanciulle della area letteraria mostrando come siano in grado di far magicamente oscillare dal basso verso l’alto e poi ancora in basso un pezzo di cioccolato in un bicchiere di spumante. Ricordando la spinta di Archimede e la adesione di bolle sulla superficie, bolle che evaporano quando il cioccolato giunge alla superficie libera del liquido, non è difficile rendersi conto del fenomeno.

Vogliamo piuttosto analizzare gli aspetti fisici del caratteristico "perlage" e il particolare "frizzare" dello spumante. Il piacevole suono delle bollicine che accompagnano lo spruzzo e il mescere dello spumante è il risultato di un processo "a valanga". Infatti, tale "suono" è in realtà la somma di molti lievi scoppiettii di bolle individuali, come è stato recentemente dettagliato da ricercatori della Università di Liegi.

Se l’esplosione delle bolle avvenisse a tasso costante si sentirebbe un fruscio uniforme, come il disturbo sottostante nelle trasmissioni radio. E’ tipico di diversi processi acustici questa specie di "rumore bianco", nel quale la frequenza del suono è distribuita a caso su un ampio intervallo, mentre l’ampiezza è praticamente costante. Invece, nel caso dello spumante il "fizz" è ben diverso da questo "rumore bianco" e attraverso opportuni microfoni si è potuto provare che il "suono" ha dei picchi caratteristici.: infatti le bollicine non scoppiano indipendentemente ma a seguito di processi cooperativi. Ciascuna piccola esplosione individuale dura all’incirca 1/1000 di secondo mentre una numerosa serie di esse si producono in rapida successione, combinandosi a generare il segnale acustico. Il tempo tra esplosioni successive è variabile ed esse non hanno una durata preferita, comportandosi nella loro sequenza come in un processo a valanga, simile a quello che si osserva nei terremoti, nelle esplosioni solari e negli smottamenti di terra. In breve, il comportamento delle bolle durante la generazione del "fizz" è quello caratteristico di sistemi a molti componenti nei quali l’effetto globale è dovuto a una grande varietà di interazioni individuali.

La vodka o il "vino di pane"
Salendo verso i paesi nordici diviene difficile la coltivazione della vite e il posto del vino viene occupato da bevande derivate dalla distillazione di mele (Calvados-Normandie, Nord della Francia), prugne e albicocche (Slivovitsa-Croazia-Serbia), ginepro (Gin-Gran Bretagna) o di diversi tipi di cereali o grano (Whisky-Gran Bretagna, Vodka-Russia). In tempi antichi, in Russia, la vodka era chiamata proprio cosi: il "vino di pane" (Smirnov). Essa viene in genere consumata anche oggi allo stesso modo di come italiani e francesi fruiscono a pranzo o a cena del derivato dall’uva. Vi siete mai chiesti perchè le bevande su elencate, essendo essenzialmente, da un punto di visto chimico, diluizioni dell’alcool etilico in acqua, hanno comunque una gradazione intorno a 40?

Come prima ragione citiamo una leggenda, che ha una base fisica. Si racconta che quando Pietro il Grande introdusse il monopolio per la distillazione della vodka, divenendo così lo stato responsabile della sua qualità, gli osti cominciarono a diluire la vodka senza alcuno scrupolo. In questo modo aumentavano i loro guadagni e contemporaneamente scontentavano gli avventori per la scarsa qualità della bevanda preferita. Per stroncare questo malcostume, Pietro il Grande emanò un editto, che autorizzava i clienti a picchiare i gestori delle osterie sino alla morte se il vapore della vodka servita non poteva essere incendiato. Lestamente fu osservato che il contenuto del 40% di alcool risultava essere quello minimo per permettere la combustione sullo specchio del liquido. Su questa percentuale si fermarono gli osti, trovando un buon compromesso tra guadagno, rispetto delle norme e soddisfazione della clientela.

Un secondo motivo del "numero magico" è legato alla seguente circostanza. Ben noto è il fenomeno di espansione termica, che si manifesta nell’aumento di volume con l’aumento della temperatura e alla sua riduzione con il raffreddamento. Obbedisce a questa legge la maggior parte dei composti chimici, tra i quali l’alcool. L’acqua, invece, costituisce un liquido anomalo: sotto i 4 °C, con il calo della temperatura il volume anziché diminuire comincia a crescere, fino al punto di congelamento dove varia bruscamente del 10%! Per questa ragione non si possano lasciare le bottiglie con l’acqua fuori casa a temperature sotto 0 °C: l’acqua congelata, aumentando il suo volume, le romperebbe. Con la vodka ciò non accade: in Siberia le scatole con la bevanda preziosa vengono lasciate al gelo senza alcuna conseguenza. La spiegazione di questo fenomeno coinvolge due aspetti. Innanzitutto, la presenza di una cosi notevole percentuale di alcool contrasta la cristallizzazione della soluzione (come si è già menzionato), evitando il salto repentino del volume specifico con il calo di temperatura. In secondo luogo, al rapporto dei volumi 4 a 6 il coefficiente totale di espansione termica si trova vicino allo zero: "l'anomalia" dell'acqua si compensa con "la normalità" dell’alcool. E’ sufficiente controllare sulle tabelle di un manuale i rispettivi coefficienti di espansione termica a: per l’acqua a = -0.0007 al grado e per l’alcool a = 0,001 al grado.

Esiste anche un terzo motivo per il magico numero 40%, motivo la cui scoperta si attribuisce al famoso chimico russo Dimitri Mendeleev. È legato alla stabilità del contenuto alcolico percentuale a seguito della evaporazione, se si permette alle molecole di lasciare la superficie libera del liquido. Valutiamo il numero delle molecole che lasciano un centimetro quadrato di superficie in un secondo. Le molecole in un liquido interagiscono abbastanza fortemente tra di loro. Tuttavia, mentre nel solido l'energia d'interazione supera notevolmente l'energia di moto delle molecole, e nel gas accade l’opposto, in un liquido queste grandezze sono dello stesso ordine. Per questo le molecole del liquido compiono delle oscillazioni attorno alle posizioni di equilibrio, raramente "saltando" in altre. "Raramente" va inteso a confronto con il periodo delle oscillazioni attorno alle posizioni di equilibrio. In una scala di tempo per noi naturale, perfino molto spesso: in un secondo una molecola nel liquido può cambiare la sua posizione di equilibrio milioni di volte! Tuttavia, non tutte le molecole durante i propri movimenti, anche trovandosi nei pressi della superficie, possono fuoriuscire dal liquido. Per vincere le forze di legame la molecola deve compiere un lavoro. Si può dire che l'energia della molecola nel liquido è inferiore alla sua energia nello stato di vapore di una quantità pari al calore di evaporazione per molecola.

Se q è il calore molare di evaporazione, il calore per molecola è (NA numero di Avogadro). La molecola può compiere questo "lavoro d'uscita" soltanto grazie alla sua energia termica. In genere l'energia cinetica media, E c ~ kT (con k = l.38 • 10-23 J/K), è notevolmente inferiore a U. Tuttavia, in accordo alle leggi della fisica molecolare, nel liquido esiste comunque una frazione di molecole che hanno una energia sufficiente a superare la forza di coesione ed evaporare. Il loro numero per unità di volume è dato dall' espressione , dove n0 è la concentrazione delle molecole, ed e = 2,7182.. è la base dei logaritmi naturali.

E ora dimentichiamo i salti delle molecole di liquido e riferiamoci alle molecole ad alta energia, come costituissero un proprio gas. In un tempo da una porzione di superficie di area S possono evaporare molecole dal volume (per tale valutazione assumiamo che 1/6 di tutte queste molecole si avvicinino alla superficie con una velocità tale da permettere la fuoriuscita). Utilizzando l'espressione sopra riportata, ricaviamo il tasso d'evaporazione

che comporta la variazione di volume per secondo pari a

ove r è la massa specifica.

Sulla superficie della vodka si forma il vapore, che contiene le molecole dei due liquidi simultaneamente, acqua e alcool. Il rapporto delle variazione dei volumi risulta

Ancora ricorrendo alle tavole numeriche dei valori caratteristici, stimiamo

=40500J, =39000 J e per i pesi molecolari =18 g, .

Pertanto è facile ottenere per il rapporto dei volumi di evaporazione

,

vale a dire una invarianza del contenuto in corrispondenza a una percentuale di alcool attorno 55%!

Tuttavia, occorrerebbe anche tenere conto del processo di polimerizzazione delle molecole di alcool, che si aggregano in lunghe catene. In tal caso la più opportuna concentrazione di alcool nella vodka che conserva la sua percentuale nella miscela anche nel corso della evaporazione, si riduce dal 55 % a circa il 40%. Cossichè il bicchierino di vodka lasciato sul tavola la sera mantiene la stesso gradazione alcolica anche il giorno dopo (questa affermazione non è valida per vino o champagne) e può servire come eterodossa medicina per il festeggiato che al mattino successivo soffre di emicrania.

Un altro motivo a favore della concentrazione del 40% è legato al salto di viscosità della soluzione dell’alcool vicino a questa concentrazione. In una soluzione debole, le molecole dell’alcool sono indipendenti e si muovano ognuna per se stessa. Quando la concentrazione raggiunge il valore del 40% ha luogo il fenomeno di polimerizzazione, le molecole dell’alcool si ordinano in lunghe catene, la viscosità ha una brusca variazione e la vodka migliora le sue proprietà organolettiche (come dicono gli estimatori di questa bevanda "vodka ben fatta salta in gola da sola").

Calici sonori e calici silenti
Il calice è costituito da una sottile lamina di vetro a forma di paraboloide di rotazione. Se prendiamo un calice, inumidiamo un polpastrello delle dita nel vino e lo passiamo, ruotandolo, sul bordo, possiamo produrre un suono melodico. Tanto più vino caliamo nel calice, tanto più basso sarà il suono. Con un certo numero di calici, riempiti variamente con diverse quantità di vino, e posti in rotazione da un opportuno sistema meccanico attorno all’asse di ciascuno, si può realizzare una moderna (e bucolica) versione di uno strumento ideato da Franklin (1763). Se l’esecutore, con due o più dita bagnate nel vino, tocca abilmente le tazze ruotanti, può riuscire ad ottenere una melodia.

Nei brindisi, l’urto dei calici viene ricercato con l’intento di ricavare un gradevole "suono", il ben noto "tintinnio". La ragione fisica della sonorità dei calici è legata alla oscillazioni che lo strofinio con le dita o l’urto nei brindisi induce nella "cassa di risonanza", costituita dal calice, il vino e l’aria in esso contenuti. Come è noto il suono è un’onda di pressione e di decompressione, che si propaga. Localmente si ha un "campo di pressione", che oscilla nel tempo attorno alla suo valore medio. L’eccitazione di campi di pressione e la loro esaltazione nella "cassa di risonanza" costituiscono gli aspetti fisici che sottendono ai calici sonori e al tintinnio dei calici nei brindisi.

Queste considerazioni ci guidano a una raccomandazione: si usi vino "fermo", si evitino i brindisi con calici riempiti di vino con molte "bollicine", come lo spumante, se si vuole produrre un cristallino tintinnio. Accenniamo alla ragione fisica di questa "precauzione". Le bolle sono cavità di anidride carbonica e nel corso della oscillazione del campo di pressione, quando si produce localmente un valore di pressione per il quale tale gas non è solubile nel vino in quella particolare concentrazione, si ha l’evaporazione delle stesse. Tale fenomeno produce la dispersione, lo "smorzamento" delle onde sonore e ciò fa sì che il suono acquisti un carattere sordo, meno gradevole.

Cerchiamo una descrizione un poco più quantitativa dei fenomeni che abbiamo così riassunto . La melodiosità e la sfumatura "cristallina" del suono è data dalle oscillazioni prodotte nella cassa di risonanza, sia ad alta frequenza (ν ~ 10-20kHz) che ultrasonore (ν > 20kHz). In caso di urto di calici vuoti o contenenti bevande non gassate, si producono oscillazioni che risuonano anche abbastanza a lungo. Pertanto si può pensare subito che la causa dell'assenza di suono in caso di urto di calici contenenti spumanti sia dovuto alle bolle di anidride carbonica, che si liberano copiosamente quando si stappa la bottiglia. E’ possibile che esse provochino un forte smorzamento delle oscillazioni ad onde corte nel calice, così come le fluttuazioni di densità delle molecole nell'atmosfera disperdono fortemente le radiazioni della luce solare?

Anche per suoni con frequenze al limite superiore della percezione dell'orecchio umano (ν ~ 20kHz), la lunghezza dell'onda nell'acqua, λ=c/ ν ~10 cm (c = 1450 m/s è la velocità del suono nell'acqua), supera di molto le dimensioni delle bolle di anidride carbonica nello spumante (raggio ~ 1 mm). Pertanto la diffusione delle onde sonore in una forma analoga alla diffusione della luce sembrerebbe impossibile. Tuttavia cerchiamo di analizzare criticamente il ruolo dell'onda a lunghezza minima λmin corrispondente alla massima frequenza percepibile. Per semplicità non considereremo la forma reale del calice, ma lo immagineremo come una scatola rettangolare. Supponiamo che in essa vi sia un'onda sonora piana costituita da un'onda di compressione e decompressione. La pressione in eccesso nel mezzo, in caso di propagazione dell'onda, può essere descritta nella forma

Pecc (x, t) = P0 cos(-ωt),

dove P0 è l'ampiezza delle oscillazioni della pressione, ω è la frequenza del suono, λ è la lunghezza dell'onda corrispondente; x è la coordinata del punto in esame lungo la direzione di propagazione dell'onda. Poiché anche λmin supera le dimensioni del calice, per le onde sonore la funzione Pecc (x, t) (cioè il campo di pressione) nel dato istante, nei limiti del volume del calice, cambia lentamente al variare di x, ossia il primo addendo nell'argomento del coseno non è importante (poiché x << λ). Il ruolo principale nella variazione della pressione in eccesso all'interno del calice, quindi, è giocato dal secondo addendo nell'argomento del coseno, che descrive come si stabilisce un campo di sovra pressione praticamente omogeneo, ma che cambia rapidamente col tempo. Per cui possiamo scrivere

Pecc (t) = P0 cosωt

La pressione totale nel liquido è determinata dalla somma di Pecc (t) e della pressione atmosferica:

P (t) = Patm + P0 cosωt

Rimane ancora un passo per capire le cause del rapido smorzamento del suono nei calici di spumante. Il liquido saturo di gas è un "mezzo acustico non lineare". Dietro questa espressione di gergo scientifico si nasconde quanto segue. La solubilità del gas nel liquido dipende dalla pressione: quanto maggiore è la pressione tanto più gas viene "intrappolato" nell'unità di volume di liquido. Come abbiamo visto, con l’emissione del suono all'interno dei calici si forma un campo alternato di pressione. Quando la pressione nel liquido diventa più bassa di quella atmosferica, si ha l’emissione di bolle. L’emissione di gas modifica la semplice legge armonica della dipendenza della pressione dal tempo che noi abbiamo preso in considerazione. Questo intendiamo quando parliamo di un liquido saturo di gas come "mezzo non lineare".

Nell’emissione di gas si dissipa l'energia delle oscillazioni ed esse si smorzano rapidamente. Quando si fanno toccare i calici, si sviluppano inizialmente oscillazioni a diverse frequenze. In virtù del meccanismo descritto, le oscillazioni ad alta frequenza si smorzano molto più rapidamente di quelle a bassa frequenza e quindi sentiamo soltanto un suono sordo, privo della sua sfumatura cristallina ad alta frequenza.

Una bollicina d'aria in un liquido costituisce appunto un sistema oscillatorio. La frequenza propria delle oscillazioni può essere valutata in basa alla nota formula per la frequenza delle oscillazioni di una molla, cercando di individuare cosa giocherà il ruolo di costante elastica in tal caso.

Come primo candidato per il ruolo di costante elastica si ha il coefficiente di tensione superficiale del liquido σ: esso ha le stesse dimensioni, cioθ forza su lunghezza. In luogo della massa nella formula per la frequenza propria delle oscillazioni, dovrà esser considerata la massa di liquido coinvolta nelle oscillazioni della bolla. Questa grandezza è dell'ordine del volume della bolla moltiplicato per la densità: m ~ρ ro 3. Quindi, la frequenza propria delle oscillazioni sarà definita dall'equazione

Questa non è l'unica soluzione possibile. Vi è un importante parametro che non è ancora intervenuto: la pressione dell'aria contenuta nella bolla, P0. Se la si moltiplica per il raggio della bolla, otterremo ugualmente una grandezza che ha le dimensioni di una costante elastica. Sostituendo questa nuova espressione di tale costante nella formula per la frequenza propria delle oscillazioni, otterremo una frequenza completamente diversa:

Tra le due frequenze trovate qual'è la vera? Entrambe, in quanto esse corrispondono a diversi tipi di oscillazione. Il primo tipo è quello che coinvolge le oscillazioni che la bolla compie dopo la iniziale compressione. Durante queste oscillazioni la forma della bolla cambia e con questa anche l'area della superficie, mentre il volume rimane invariato. In questo caso la forza elastica viene determinata effettivamente dal coefficiente di tensione superficiale. Tuttavia è possibile anche un altro tipo di oscillazione. Se si comprime uniformemente da tutti i lati la bollicina nel liquido e quindi la si lascia libera, essa oscillerà grazie alle forze di pressione. Appunto a queste oscillazioni - radiali -, con variazione del volume, corrisponde la seconda delle frequenze da noi trovate.

Se si conoscono le dimensioni delle bollicine, in base alla frequenza del suono da esse generate si potrà giudicare il tipo di oscillazione. Nelle condizioni nelle quali ci siamo posti le dimensioni delle bolle sono dell'ordine di frazioni di millimetro. Sostituendo nelle formule corrispondenti νo=104 Hz, σ = 0.07 N/m, P0 = 105 Pa, ρ = 103 kg/m3 deduciamo che le dimensioni caratteristiche delle bolle generanti il suono durante le oscillazioni del primo o del secondo tipo sono rispettivamente

Come si vede queste dimensioni sono ragionevoli per le bollicine dello spumante:quindi non è possibile definire in base ad esse il tipo di oscillazione effettivamente prodottosi.

Il ruolo del vino nelle patologie cardio-circolatorie: il paradosso francese (o effetto Bordeaux)

Nella figura è riportato in forma schematica, l’andamento del numero di morti (ogni 100.000 persone) per coronaropatie in funzione del consumo (calorico, giornaliero) di lipidi di origine animale. Come si vede appare sussistere una precisa correlazione: a elevati consumi di grassi corrispondano coefficienti di mortalità elevati e viceversa.

Compare nel diagramma un punto anomalo: una bassa mortalità per malattie cardiache nonostante una relativamente elevata assunzione di grassi: si osservi, infatti, che nonostante un consumo più elevato della Gran Bretagna, nell’area francese presa in considerazione si registra una mortalità assai minore, ridotta a quasi un quarto.

Questi dati ufficiali (risultanti dalle ricerche nell’ambito del progetto MONICA dell’Organizzazione mondiale della sanità e pubblicati in "The Lancet" nel 1992 da Renaud e De Longeril) dovevano già essere noti nel 1991 ad un conduttore di uno speciale televisivo dalla CBS, che per la prima volta parlò di "paradosso francese" divenuto anche noto nel seguito come "effetto Bordeaux". Si sospettò subito che il beneficio fosse legato all’assunzione giornaliera di vino rosso, comune nell’area di Bordeaux. Indagini scientifiche sistematiche, condotte in diverse aree con tipologie vinicole simili, hanno permesso di confermare in maniera inconfutabile questa conclusione: "l’assunzione di vino, rosso soprattutto, determina una significativa riduzione del rischio di malattie cardiocircolatorie di vario genere".

Per quale ragione? Il vino contiene oltre 2000 composti. Ne elenchiamo alcuni: acidi tartarico, citrico, malico, solforico e acetico; acetaldeide e diacetil chetoni; un’ampia varietà di esteri (in tracce) responsabili degli aromi; vanillina e acidi gallici; fenoli e antocianine responsabili della pigmentazione dei vini rossi; tracce di quasi tutti i minerali conosciuti. Fermiamo in particolare l’attenzione sui polifenoli (nella misura di circa 1 g/litro), sulle fitoalessine (presenti naturalmente nella buccia dell’uva) e sui flavonoidi. Tra le fitoalessine di particolare rilevanza appare il trans-resveratrolo, che direttamente o per effetto sinergico con altri composti manifesta una elevata attività anti ossidante e previene anche l’invecchiamento cerebrale. Studi scientifici hanno mostrato che i polifenoli agiscono sulle lipoproteine e sulle piastrine ostacolando l’endotelina-1, molecola che provoca il restringimento dei vasi sanguigni ed è l’elemento determinante per lo sviluppo delle coronaropatie. Non vogliamo sconfinare nel campo medico. Vediamo invece se è possibile, come fisici, quantificare meglio queste osservazioni sul beneficio del vino.

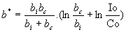
Tentiamo di stimare il numero di bottiglie di vino (preferibilmente rosso) che possano validamente preservarci da malattie cardiache senza provocare considerevole aumento di epatopatie. Sulla base dei dati ufficiali del progetto MONICA possiamo assumere che la probabilità di coronaropatie decresca con il numero di bottiglie di vino giornaliere b secondo la legge

I= Io e-(b/bi)

Io è la probabilità di malattie per una persona astemia e il valore caratteristico bi si può assumere pari a una bottiglia di vino al dì. Nei riguardi del probabile aumento del fattore di rischio di epatopatie si può ipotizzare un aumento esponenziale:

C= Co e (b/bc)

ove Co è la probabilità per l’astemio e la costante caratteristica bc si può stimare attorno a tre bottiglie di vino al dì*. Sommando i due effetti si ha

W= Io e-(b/bi) + Co e (b/bc)

Ponendo la derivata di W eguale a zero

dW/db= - (b/bi) Io e-(b/bi) +(b/bc)Co e (b/bc) =0

si stima il minimo in corrispondenza al valore caratteristico b*** dato da

Pertanto

b* / bi = 3/4 (1.1 + ln Io/ Co) = 0,77+3/4 [ ln Io/ Co] .

Supponendo, come è ragionevole, che Io/ Co abbia un valore all’incirca unitario si ricava una quantità ottimale di vino al dì pari a circa 0.77 bi, vale dire poco più di mezzo litro di vino (rosso) al dì (meglio ai pasti).

Come stabilire la qualità e la provenienza del vino: il metodo SNIF-NMR
Accertato pertanto il beneficio di un saggio consumo di vino, soprattutto rosso e di provenienza da particolari aree geografiche e ovviamente non adulterato, si può porre il quesito: come stabilire la qualità e la provenienza del vino? La fisica ha fornito un metodo scientifico: la determinazione attraverso NMR della Site - Specific Natural Isotope Fraction (SNIF). La risonanza magnetica nucleare (NMR) consiste essenzialmente nel seguente fenomeno. I nuclei, per esempio i protoni dell’atomo di idrogeno, posseggono un piccolo momento magnetico (l’analogo dell’ago della bussola). Questi momenti magnetici, se posti in un campo magnetico omogeneo, sono soggetti a un moto di precessione attorno alla direzione del campo con una frequenza ΩL che è proporzionale al valore del campo H. Immaginiamo ora di applicare un piccolo campo a radiofrequenza, prodotto da una bobina percorsa da corrente, in una direzione perpendicolare a quella del campo principale H. Quando la frequenza w di questo campo ausiliario è pari a ΩL (ecco "la risonanza") si può produrre assorbimento di energia elettromagnetica e conseguentemente i momenti magnetici nucleari vengono rovesciati nella loro direzione rispetto al campo.

Questa descrizione vettoriale di tipo classico traduce sofisticati effetti di natura quantistica ma non è lontana dalla realtà fisica. Il punto che interessa qui è che attraverso le apparecchiature elettroniche è possibile misure con elevatissima precisione il valore del campo magnetico di risonanza, mediante le "righe NMR" dello spettro di assorbimento. Il valore del campo magnetico al quale avviene la risonanza è quello locale al nucleo, vale a dire quello che il nucleo effettivamente esperimenta sulla base del campo esterno H e dei termini correttivi (assai piccoli ma osservabili) legati alle correnti elettroniche. Si comprende pertanto che le righe di risonanza cadono a diversi valori della frequenza di irraggiamento elettromagnetico, a seconda del circondario elettronico di un dato nucleo. Per esempio, per l’alcool etilico, CH3 CH2OH, possiamo aspettarci righe di intensità relative 3:2:1 che cadono a frequenza diversa in corrispondenza ai protoni del gruppo molecolare CH3, di quelli del gruppo CH2 e di quelli del gruppo OH. Lo spettro di risonanza diviene così una sorta di "fotografia" della configurazione molecolare.

Il metodo SNIF è stato ideato dai coniugi Gerard e Maryvonne Martin a Nantes negli anni 1980, allo scopo inizialmente di accertare l’arricchimento di vini mediante zuccheri. Nel 1987 è stata fondata una società, la Eurofins Scientific, che ha raccolto un "data base" ad hoc (che oggi contiene gli spettri NMR dei vini di Francia; Spagna, Germania e Italia). Il metodo è stato accettato ufficialmente dalla Comunità Europea (1989) e dalla Organization International de la Vigne e du Vin (OIV).

È stato riconosciuto metodo ufficiale della Association of Official Analytical Chemistry (AOAC) in USA e Canada ed è stato premiato dall’AOAC nel 1996 come "The Method of the Year".

Con il metodo SNIF è oggi possibile individuare l’alcool etilico che abbia la stessa struttura chimica ma diversa origine botanica. Si può determinare se un vino proviene realmente solo dal mosto di una particolare vigna, di una particolare regione. Il metodo si basa sul fatto che a seguito dei diversi processi di fotosintesi, di metabolismo della pianta, delle condizioni geografiche e climatiche, la frazione di deuterio rispetto all’idrogeno è diversa da zona a zona della terra e da pianta a pianta.

La frazione di deuterio (D) rispetto all’idrogeno (H) è misurata usualmente in ppm. Vale 16.000 su Venere, 0.01 nella troposfera terrestre e sulla terra varia da 90 al polo Sud a 160 all’equatore. Il rapporto (D/H) presenta una relativamente grande variabilità. Ulteriore elemento che si presta alla caratterizzazione è costituito dalla distribuzione del deuterio sui diversi gruppi molecolari. Ancora per alcool etilico, in luogo di CH3CH2OH possiamo avere CH2D-CH2-OH o CH3-CDH-OH o ancora CH3CH2OD. Le percentuali D/H per ogni gruppo individuale possono essere ottenute degli spettri NMR del nucleo di deuterio, i picchi corrispondenti ai diversi gruppi presentandosi a valori separati di radiofrequenza w in ragione delle correzioni al campo locale prodotte dalle correnti diamagnetiche degli elettroni del gruppo stesso. Dai segnali NMR, confrontati mediante un opportuno programma computazionale con la raccolta di dati (sul "data base") si possono determinare i tipi di zuccheri aggiunti, la provenienza di vini eventualmente usati per l’arricchimento etc.

Conclusioni
È certamente confortante sapere che un consapevole consumo di vino, rispettoso della sua nobiltà e dell’elevato crisma di civiltà, è benefico; che indagini scientifiche oggettive e autorevoli hanno confermato e dato corpo quantitativo a un sentimento popolare di apprezzamento per questa bevanda.

È altrettanto confortante sapere che esiste un metodo scientifico che ci consente di accertare la naturale qualità del vino, la mancanza di manipolazioni e di aggiunte, la provenienza da aree e da vitigni che garantiscono lo massimizzazione dei benefici associati alla fruizione di una bottiglia di buon vino.

Oltre che per il salutare, benefico effetto sulle nostre coronarie, sul contrasto all’invecchiamento cerebrale, sull’allentare ansie e stress, cioè oltre a tutti quegli effetti di natura medico-terapeutica, il conforto è anche associato al ruolo che il vino può avere nella nostra sfera personale e nei rapporti interpersonali. Si sostiene che il grande Fleming abbia detto in una circostanza conviviale "La penicillina cura gli uomini ma è il vino che li rende felici".

Per concludere a proposito degli effetti confortanti del vino, vorremmo piuttosto riportare un sintetico e incisivo commento, traendolo direttamente dal lavoro di Siliprandi e coautori :

"Il conforto è ancora più sentito quando con il decorrere degli anni il futuro appare sempre più limitato, in estensione e in qualità. Il vino induce senso di benessere - che gli inglesi chiamano più propriamente "sensory pleasure" - e una maggiore facilità di rievocazione dei ricordi e solo di quelli gratificanti."

Ringraziamenti
Questo manoscritto è nato dalla trasformazione di un trattenimento conviviale tenuto il 27 Settembre 2002 presso il Circolo "La Barcela" di Pavia. Gli autori ringraziano il Circolo e il suo Presidente Gigi Rognoni, nonche’ i proprietari della trattoria "La Barcela", Lorenza Dragi e Tino Alberico, per la simpatica ospitalità loro offerta.

Gli autori sono inoltre grati al Dott. Stefano Cambiaghi e al Dott. Corrado Del Forno per una lettura critica del testo e per gli utili consigli.

*** Questo ipotetico consumo non è del tutto irrealistico. Per esempio al castello di Heidelberg, ove è conservata ancora oggi la più grande botte del mondo (che con un sistema di pompe manuali riforniva il vino nella grande sala da pranzo), il consumo medio di vino per abitante, inclusi bambini, malati e asceti, era di due litri al dì. Il nano Percheo, buffone di corte di origini alto atesine, consumava regolarmente dodici bottiglie al dì. E non morì di malattia epatica ma perché, a seguito di una scommessa perduta, dovette bere due bicchieri d’acqua. Si può supporre che la perdurante astinenza dal consumo di acqua, presumibilmente inquinata (a quel tempo quasi tutte le acque erano inquinate) gli abbia procurato una gastroenterite fulminante.

Riferimenti bibliografici

A.Simon "I Vini del Mondo", a cura di Serena Sutclife, Vallardi Industrie Grafiche (1985)

"Tecnica della degustazione". Dispense a cura della commissione Didattica della Associazione Italiana Sommeliers

L.Bussi, "Come farsi il vino", Demetre, (1999).

M.Vaona, "Grandi Vini Italiani", La Spiga Meravigli (1990).

G. Sicheri, "Il libro completo del vino", De Agostini, Ediz. (1997)

S.Renaud and M. De Lorgeril, "Wine, alcohol, platelets and the French paradox for coronary heat desease", The Lancet, 339, 1523 (1992)

J.B.Fournier, A.M.Cazabat, "Tears of Wine", Europhysics Letters, 20, 517 (1992)

N.Vandewalle, J.F. Lentz,S.Dorbolo and F.Brisbois " Avalanches of Popping Bubbles in Collapsing Foam", Phys. Rev. Lett. 86,179 (2001)

N.Siliprandi, R. Venerando e G.Miotto, "Quando il vino è rosso", Atti dell’Istituto Veneto di Scienze, Lettere ed Arti, tomo CLII, 107 (1994)

G.Martin Dispense della ditta Bruker "SNIF-NMR" (1997).

18 Dicembre 2002

(Pubblicato l'8 novembre 2004)


   

prima pagina | l'articolo | l'appunto al vino | la parola all'agronomo | in azienda
in dettaglio | rassegna | visioni da sud | la cucina | en passant | mbud
appunti di viaggio | le annate | la guida dei vini | rassegna stampa | sottoscrivi